市级国土空间规划背景下城区碳排放核算方法与规划应用研究——以辽宁省朝阳市为例
2025-12-11
城区碳排放核算是在市级国土空间总体规划中落实“碳达峰、碳中和”要求,对城区现状和规划方案进行标准化碳排放评价和优化调整的基础。文章聚焦城区现状和规划建设空间,将城区碳排放核算重点聚焦于工业、建筑和交通三个维度,基于城市统计年鉴、国土调查等统计数据,提出计算城区建设用地碳排放的核算模型,并针对建设用地演变的常规发展情景、控制单因子变量情景和规划目标情景开展碳排放核算,在城区规划方案中引导落实减碳要求。文章以辽宁省重要的工业城市朝阳市为例,对该模型的科学性和可操作性进行验证,明确城区空间要素相关因子的减排贡献度依次为工业行业门类和工业用地布局、建设用地结构、居住区开发强度、交通出行方式等,并通过对朝阳市城区建设用地不同演变情景的碳排放核算,引导减碳目标下城区建设用地的布局优化。
“
作 者
高 璟 上海同济城市规划设计研究院有限公司高级工程师
向晓琴 上海同济城市规划设计研究院有限公司工程师
彭震伟 同济大学建筑与城市规划学院教授、博士生导师
2021年9月22日,《中共中央 国务院关于完整准确全面贯彻新发展理念做好碳达峰碳中和工作的意见》提出实现“碳达峰、碳中和”的工作方向。国土空间规划是生态文明建设的重要支撑,可以提供有效及必要的控制温室气体排放的手段,推动工业、交通、能源、建筑等领域多管齐下,实现城市“碳达峰”。目前“碳达峰、碳中和”的工作目标已纳入新一轮国土空间总体规划,但在市级国土空间规划实践中,如何克服碳排放数据收集困难的障碍,结合规划场景快速进行碳排放测算分析,并将核算结果反馈作用于规划方案编制,其路径和方法尚不明确。
目前已知的国土空间碳排放核算方法主要有部门领域清单核算法和土地利用评估法两种。其中,部门领域清单核算法多采用以《IPCC国家温室气体清单指南》(2019年修订版)为代表的自下而上法,从温室气体生产部门收集人类生产、生活数据,由能源用量乘以二氧化碳排放系数,并逐层归类计算而得。但这些从各部门收集到的能源燃烧数据与国土空间的关联度不高,无法直接用于判断城市能源消费各维度对国土空间开发利用活动碳排放的贡献情况,对规划编制提出的减碳策略缺乏直接指导意义。土地利用评估法可分为两种:一是基于某个时间段内各种类别土地的碳储量差值进行转换计算,通过关联土地利用变化来模拟未来土地碳储量的变化趋势。然而,受能源强度、地表覆被、自然植被生长状况等方面的影响,不同地域的各类土地碳排放(碳汇)系数会出现较大偏差,且核算过程也会受到数据获取、操作复杂程度的制约。二是利用相关变量构建自适应参数模型,拟合土地利用结构、强度等与碳排放量的关系,通过调整自变量来推算未来碳排放的趋势。国内已有学者尝试从国土空间规划视角,探索温室气体清单体系与国土空间规划体系的衔接关系。差异主要体现在将能源供应数据转化为建筑、交通、工业三个维度,还是转化为建筑、交通、工业、其他能源活动、农(林)业和其他土地利用、废弃物六个维度或其他维度,然后基于城市开放数据和GIS技术,在市域、省域或更大尺度上呈现碳活动的空间分布情况;或将建筑形态、开发强度、建筑材料等城市空间要素与实测能源燃烧数据关联,在详细规划、街道或局部地块等微观层面探索碳排放核算方法。总体上看,既有研究在国土空间总体规划碳排放核算领域存在核算边界和维度划分不统一、城市中观尺度研究缺乏、与国土空间规划核心管控要素关联度较低等问题。
01
研究设计
1.1 城区碳减排的规划路径
由于建筑、交通、工业活动主要集聚在城区范围,实现城市“碳达峰、碳中和”的关键在于有效降低城区的碳排放。在市级国土空间规划体系中落实城区规划减排目标,需在总体规划层面通过国土空间分区分类和用途管制,对能源活动及其碳排放进行总体监测,通过关键规划指标对规模和结构进行管控引导;在详细规划层面深化国土空间形态和开发强度管控;在专项规划层面开展专项设施用地规模和强度管控(图1)。

图1 市级国土空间规划体系中城区规划减排路径
Fig.1 Reduction pathways of urban areas at the municipal-level territorial spatial planning system
资料来源:笔者自绘
1.2 核算边界
1.2.1 城区范围
按照传统土地管理统计口径,城区现状范围为市辖区第三次全国国土调查数据的城市建设用地(即城镇村属性为201、201A的土地)。考虑到城市内省级以上工业园区在第三次全国国土调查时未被完全调查为城市建设用地,城市工矿企业生产碳排放与实际情况不符,将省级以上工业园区批复范围内的工业用地也纳入城市建设用地计算。按照市级国土空间总体规划的编制要求,城区规划范围即为中心城区城镇开发边界围合范围(内部如有零散永久基本农田和生态保护红线的,按“开天窗”处理)。
1.2.2 碳排放核算边界
既有研究表明,建设用地上的碳排放总量占碳源总量的90%以上。因此,本文聚焦城区现状和规划建设空间,将城区碳排放聚焦工业、建筑和交通三个维度。按照国际惯例,碳排放计量可分为直接和间接两类,在城区范围内主要通过终端能源消费量来间接计算碳排放量。根据碳排放部门的划分,可以将城区碳排放划分为工矿企业生产碳排放、建筑用能碳排放和城市交通运输用能碳排放三大类,并逐一对应城市统计年鉴终端能源消费量情况(表1)。

表1 碳排放核算涉及的典型建设用地统计口径
Tab.1 Statistical criteria of typical construction land involved in carbon emission accounting
资料来源:终端能源消费量来自城市统计年鉴,现状地类分类来自《第三次全国国土调查工作手册》,规划地类分类来自《国土空间调查、规划、用途管制用地用海分类》
1.2.3研究对象与统计口径
本研究聚焦建设空间的能源消费和碳排放,以建设用地为空间载体,以年度为统计时间单位,导向附着于建设用地上的终端能源消费量和碳排放量。现状建设用地统计口径以2019年4月国务院第三次全国国土调查领导小组办公室发布的《第三次全国国土调查工作分类地类认定细则》为准,规划建设用地统计口径与《国土空间调查、规划、用途管制用地用海分类指南》(自然资发〔2023〕234号)保持一致,剔除绿地与开敞空间、道路用地、铁路用地、空闲地等难以对应能源消费统计口径且相对其他建设用地几乎没有能源消耗的地类后,大致分为居住用地、公共管理与公共服务类用地、商业服务业用地、工矿用地、仓储用地、交通运输用地、公用设施用地、特殊用地八大类。
此外,因城市对外交通受区域合作和政策环境的影响较大,且统计数据涉及城市之间的切分,本研究中仅考虑城市内部交通出行用能及其碳排放量,城市对外客运、货运交通运输用能不纳入计算。因此,在核算城区交通运输用能时,建设用地总面积剔除城乡客运站、机场、火车站、高铁站等对外交通运输场站用地,仅保留公共交通和社会停车场等城市内部交通设施用地。
1.3 研究设计
本文采用定量为主、定性为辅的研究方法,利用历年《中国城市统计年鉴》、历年城市城乡建设统计年报、城市第三次全国国土调查数据(2019年)、城市第七次全国人口普查数据(2020年)、城市历年交通调查数据或全国历年《交通运输行业发展统计公报》等数据,在CO2驱动要素分解模型(Kaya恒等式)的基础上,构建“典型建设用地—关联因子—能耗/碳排放强度”相关指标体系和碳排放核算模型。研究基于多源时空数据,采集城区碳排放量相关历史数据,确定碳排放强度;采用趋势外推法,预测碳排放量减少目标和规划指标;采用控制单因子变量法,模拟规划碳排放情景。区分常规发展情景、单因子变量理想情景和规划目标控制情景三种终端能源消费量和碳排放量情景,分别对城区规划方案提出减碳推演思路,并结合碳排放目标确定中心城区规划最优方案(图2)。

图2 技术路线图
Fig.2 Technical roadmap
资料来源:笔者自绘
02
碳排放核算规则
2.1 基于Kaya恒等式的碳排放测算模型
CO2驱动要素分解模型从碳排放因素分解的角度,解释经济、政策及人口等因素对人类活动产生的二氧化碳量的影响。其计算公式为

式中,CO2表示碳排放总量;POP表示国内人口总数;GDP表示国内生产总值;PE表示能源消费总量;表示人均国内生产总值;
表示单位国内生产总值能源效率;
表示能源碳强度。
在CO2驱动要素分解模型的基础上,尝试调整形成适用于土地利用的新公式,分别表示工矿企业生产碳排放、建筑用能碳排放和城市交通运输用能碳排放(图3)。

图3 基于典型建设用地口径的碳排放核算规则
Fig.3 Carbon emission accounting rules based on typical construction land criteria
资料来源:笔者自绘
工矿企业生产碳排放量计算公式:

式中,CEg表示工矿企业碳排放量;GVP表示工业总产值;Lg表示工业用地面积;表示工业产值单耗;
表示地均产值。如果用ce、em、ml分别简化表达
再考虑工业细分行业用能差异,公式(2)可规范表达为

式中,lgi表示某行业工业用地面积;mli表示某行业地均产值;emi表示某行业产值单耗。
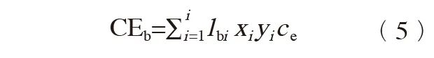
建筑用能碳排放量的计算公式为

式中,CEb表示建筑用能碳排放量;BA表示建筑面积;Lb表示用地面积;表示单位建筑面积能耗;
表示容积率。
如果用xi、yi 分别简化表达 、
,再考虑居住、商业、公共服务等建筑用能差异,公式(4)可规范表达为

式中,Lbi表示某居住、商业、公共服务类用地面积;xi 表示某居住、商业、公共服务类用地的平均容积率;yi 表示某居住、商业、公共服务类用地平均容积率对应单位建筑面积能耗。
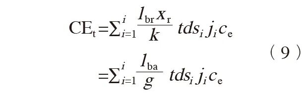
城市交通运输用能碳排放量的计算公式为

式中,CEt表示城市交通运输用能碳排放量;Tm表示机动车出行量,T表示城市总出行量;P为常住城镇人口;表示机动车每万人次单耗;
表示机动车交通出行分担率;
表示人均年出行次数。如果用ji、si分别简化表达
,再考虑公交、非公交机动车出行用能差异,公式(6)可规范表达为

式中,t 为人均日出行次数;d为一年365天;si 为某机动车交通出行分担率;ji 为某机动车每万人次单耗。
根据城市规划设计相关技术标准,人均住房面积、人均公共服务类用地面积(公共服务设施用地+公用设施用地+特殊用地+交通场站用地)和常住城镇人口与容积率存在一定关系,用公式可表达为

式中,lbr 表示居住用地面积;lba 表示公共服务类用地面积;xr表示居住用地平均容积率;k 表示人均住房面积;g 表示人均公共服务类用地面积。
因此,城市交通运输用能碳排放量计算可用居住用地或公共服务类用地表达为

最后,城区碳排放总量可用公式表达为

2.2 关联因子判定
依据碳排放测算模型,分别确定城区工矿企业生产、建筑用能、城市交通运输用能核算的关键影响因子,并纳入国土空间总体规划方案,作为规划指标予以重点监测(表2)。

表2 碳排放核算关键影响因子及数据来源
Tab.2 Key influencing factors and data sources of carbon emission accounting
注:*标准煤指热值为7 000 kcal/kg的煤炭,是标准能源的一种表示方法。
资料来源:笔者自绘
2.3 规划情景推演思路
2.3.1 常规发展情景
在不考虑调整工矿企业生产、建筑用能和城市交通运输能耗强度,不约束能源消耗总量和碳排放总量目标的情况下,按照传统城市规划人口预测方法和用地布局原理,确定城区规划常住城镇人口、建设用地总规模、土地使用规划方案、各类机动车出行分摊率等,分别代入公式(3)~(10),计算规划中心城区能耗总量和碳排放总量。然后对比分析常规发展情景下能耗和碳排放总量相较于现状对增长量的贡献度。
2.3.2 自下而上:控制单因子变量情景
在不考虑城市经济发展、社会效益、方案可执行性,以及城市能耗和碳排放目标约束的情况下,逐一调整表2中的关联因子,直至能耗总量达到最低数值(或理想数值),分别计算当每个关联因子都调整到最优情况时,对应的能源消耗和碳排放总量相较于常规发展情景和现状变化作出的贡献度。
2.3.3 自上而下:能耗目标控制情景
在现状基础情况下,按照本级“十四五”节能减排综合工作方案、本级和上位“十四五”规划等,确定规划期内规模以上工矿企业产值单耗、单位建筑面积能耗、人均综合能耗等规划目标值。分别重复上述产业门类调整、开发强度调整、土地利用结构调整和公交分摊率调整等情景步骤,并进行组合优化,直至达到对应规划目标值为止。
最优综合规划方案比选标准:一是工业用地腾退置换规模最小、工业用地地均产值和生产总值提高,同时满足企业产值单耗降低至规划目标值;二是平均容积率越高、常住城镇人口容量越高、人均住房面积有所降低、人均公共服务类用地面积基本保持稳定、三类建设用地结构趋于均衡,同时人均综合能耗、单位建筑面积能耗越接近规划目标值;三是城市交通出行能耗值最低。
03
案例应用研究
3.1 城区范围
《朝阳市国土空间总体规划(2021—2035年)》明确提出,朝阳市的城市性质是辽冀蒙区域交通枢纽、先进制造产业基地和陆海双向开放节点城市,绿色低碳示范城市,历史文化名城。其中,以先进制造业为特征的工业发展,是朝阳市城区的重要职能。朝阳市市辖区包括双塔区和龙城区,现状城区范围为市辖区第三次全国国土调查数据的城市建设用地和省级以上工业园区批复范围内的工业用地,总面积为57.41km2,纳入核算的典型建设用地面积为49.76 km2。规划城区范围为中心城区城镇开发边界,总面积为103.45 km2,纳入核算的典型建设用地面积为76.65km2(表3)。

表3 朝阳城区碳排放核算涉及的典型建设用地统计
Tab.3 Statistics of typical construction land involved in carbon emission accounting in Chaoyang urban area
注:规划留白用地8.22 km2现状全部为农村宅基地。因此,留白用地在情景模拟中按照保留现状的农村住宅用地处理,按乡村居民用能核算碳排放量。因2019—2022年突发公共卫生事件时的城市交通数据不具备常态特征,本表城市交通运输用能数据为2018年数据,其他均为2020年数据。
资料来源:笔者自绘
3.2碳排放现状特征
3.2.1现状能耗强度
城区现状地均产值高于产值单耗的行业主要有7个,行业平均地均产值为0.28万元/米2、产值单耗为0.09吨标准煤/万元;地均产值低于产值单耗的行业有11个,行业平均地均产值为0.18万元/米2、产值单耗为2.46吨标准煤/万元;整体平均地均产值为0.17万元/米2,产值单耗为1.63吨标准煤/万元。以鞍钢为代表的黑色金属冶炼和压延加工业,以及以燕山湖发电厂、朝阳热电为代表的电力、热力生产和供应业能源消费总量最高(图4)。

图4 朝阳城区现状工业行业波士顿矩阵图
Fig.4 Boston matrix diagram of the current industrial industry in Chaoyang urban area
资料来源:《朝阳统计年鉴2021》
2020年朝阳市全市城镇建筑终端能源消费量为57.85万吨标准煤,当城镇住宅用地、商业服务业用地和公共服务类用地的平均容积率分别取1.5、2.25和0.75时,朝阳市全市城镇住宅建筑、商业服务业建筑、公共管理与公共服务类用地、特殊用地建筑对应的能耗强度见表4。考虑到规划城区范围内尚存少量农村宅基地按照留白用地控制,同步计算现状农房对应的能耗强度。
根据基础资料完整情况和突发公共卫生事件对城市交通的影响,确定以2018年作为交通能耗现状分析年份。不考虑民航和铁路运输的情况下,2018年朝阳市城市非公交机动车每万人次单耗为2.16吨标准煤(表5)。

表5 朝阳市2018年交通能耗强度计算表
Tab.5 Calculation table of traffic energy consumption intensity of Chaoyang in 2018
注:公路客货运能耗来源于《2018年交通运输行业发展统计公报》中数据乘以0.7系数,非推算所得。
资料来源:朝阳市交通调查数据、《2018年交通运输行业发展统计公报》、《朝阳市第七次全国人口普查公报》
3.2.2 现状碳排放总量
就城区尺度来看,工矿企业生产是朝阳城区的主要碳排放来源,占比超过96.2%,与建筑用能和城市交通运输用能存在巨大差异;城市交通运输用能和建筑用能仅占总用能的3.8%(表6)。因此,调整工业产业结构,发展更多高产值、低能耗的产业,才是未来朝阳城区推进“碳达峰、碳中和”的关键路径。

表6 朝阳城区现状用能和碳排放总量统计表
Tab.6 Statistical table of current energy consumption and total carbon emission in Chaoyang urban area
注:考虑交通数据差异对用能和碳排放总量的影响可忽略不计,现状用能总量仍将2018年交通用能总量纳入计算。
资料来源:笔者自绘
3.3 城区规划情景推演结果
3.3.1 常规发展情景
在不考虑调整产业门类、局部调整开发强度、提升城市公交出行分担率和降低能耗强度,即维持现有能源消费水平和能耗强度的情况下,城区范围从57.41km2扩大到103.45km2,仅是建设用地增加和常住人口增加会对城区造成43.1%的碳排放量增长(表7)。

表7 常规发展情景下朝阳城区规划用能和碳排放总量计算表
Tab.7 Calculation table of planned energy consumption and total carbon emissions in Chaoyang urban area under conventional development scenarios
资料来源:笔者自绘
3.3.2 控制单因子变量情景
伴随城市人口和用地规模的扩张,无论如何调整变量数值,建筑和交通运输用能总量始终在增加,但工业行业门类的调整优化,可以显著降低朝阳城区的用能总量。在将地均产值低于产值单耗的工业用地全部布局为地均产值高于产值单耗的行业、三类建筑容积率均取低值且居住类用地取临界值、全部机动车出行都是公交车出行三种极端情景下,用能总量相较于现状可降低35.19%。在保持工业现状发展态势、三类建筑容积率均取高值、全部机动车出行都是非公交车出行三种极端情况下,用能总量相较于现状增加44.68%(表8、表9)。

表8 因子调整至极限时对朝阳城区用能总量的影响
Tab.8 The influence of factor adjustment to the limit on the total energy consumption in Chaoyang urban area
资料来源:笔者自绘

表9 因子调整后三大板块朝阳城区用能总量变化
Tab.9 Changes in total energy consumption in Chaoyang urban area of the three major sectors after factor adjustment
资料来源:笔者自绘
从建筑内部看,平均容积率控制在最优2.075时,能够保证城市开发的经济收益,同时,能耗水平相对其他情景更低。若不考虑城市开发的经济收益,三类建筑容积率均取低值且居住类用地取临界值时,总能耗量最少。
3.3.3 能耗目标控制下的规划方案
根据《朝阳市“十四五”节能减排综合工作方案》(内部资料),到2025年,朝阳市规模以上工矿企业产值单耗下降5%,中心城区300辆新能源公交车全部投入使用,单位建筑面积能耗下降6%,人均综合能耗下降6%(表10)。

表10 朝阳市规划能耗减少目标
Tab.10 Planned energy consumption reduction target of Chaoyang
资料来源:笔者自绘
在总建设用地和非工业建设用地不变的情况下,依托人均城镇建设用地指标,可确定常住城镇人口数值。在土地利用结构调整过程中,常量包括总建设用地、非工业建设用地、人均城镇建设和常住城镇人口四项;涉及的核心自变量包括人均住房面积、人均公共服务类用地面积、三类建设用地各自的容积率等五项;存在的因变量包括居住用地面积、公共服务类用地面积、商业用地面积、三类建筑用地容积率对应的建设用地单耗等六项。本研究依次控制人均住房面积、人均公共服务类用地面积、三类建设用地各自的容积率等五项核心自变量,分别对应五种土地利用结构情形和建筑用能碳排放情形(表11)。最终,方案5最符合综合方案比选要求。

表11 目标确定下朝阳城区建筑类建设用地调整方案
Tab.11 The adjustment scheme of building construction land in Chaoyang urban area under the established target
资料来源:笔者自绘
若电力、热力生产和供应业等基础供应行业、新增工业用地和原有高产值行业建设用地保持现状能耗水平,将工业用地能耗降低目标值代入公式(3),地均产值取平均值0.17万元/米2,可以求解得到需调整产业门类的工业用地面积为500.35hm2,即约41.61%的地均产值低于产值单耗的工业用地需要转换为地均产值高于产值单耗的行业工业,才能实现至2035年规模以上工矿企业产值单耗每五年下降5%的规划目标(表12)。

表12 能耗目标控制下朝阳城区规划引导
Tab.12 Planning guidance of Chaoyang urban area under the control of energy consumption target
资料来源:笔者自绘
根据相关调查结果,市辖区公交出行者平均出行距离为10.5km。根据城市开发强度与规模估算方案,规划常住城镇人口按100万人计算,当人均日出行次数为2.18人次、非公交机动车出行每万人次单耗为2.16吨标准煤时,城市交通用能总量达到最低,为1.86万吨标准煤。
总之,朝阳市仍处于工业化和城镇化发展阶段,在能耗强度目标控制下,城市规模的扩张仍会带来用能总量的增加,但相较于不控制的情景能降低约25%(表13)。

表13 朝阳城区规划方案与现状、常规发展情景下的能耗总量比较
Tab.13 Comparison of total energy consumption between the planning scheme and the current situation and the conventional development scenario in Chaoyang urban area
资料来源:笔者自绘
04
研究结论与展望
本研究提出基于统计数据的城区碳排放核算方法,通过朝阳市的案例,验证了其具有切实的可行性和推广性,明确了规划可通过重点调整工业产业门类、开发强度、土地利用结构和交通出行方式,有效控制城区的碳排放总量。其中,影响工业城市城区能耗和碳排放总量的关联因子对减排的贡献度从高到低依次是:工业行业门类和工业用地布局、建设用地结构、居住区开发强度和交通出行方式。当三种极端情景同时具备时,用能总量相较于现状可显著降低,可最大程度地降低规划碳排放量,即将地均产值低于产值单耗的(或产值单耗高于平均值)、地均产值低于平均值的工业用地,全部布局为地均产值高、产值单耗低的工业行业,将新增工业用地全部布局为地均产值高、产值单耗低的工业行业用地;三类建筑容积率均取低值且居住类用地取临界值;全部机动车出行都是新能源公交车出行。
研究成果可以筛选出地均产值高、能耗低的行业门类,计算城区最优建设用地开发强度、土地利用结构和交通出行结构,为城市产业结构调整、工业用地布局、功能结构调整和提高土地利用效益提供支撑。但本研究的设计对城市交通运输碳排放仅计算日常居民出行,未将产业和物流仓储布局对交通的影响,以及机场、火车、公路客运等对外交通运输产生的影响考虑在内;在规划情景推演中并未考虑绿色建筑和清洁能源使用的情况;在因子变量调整时,主要以单因子变量为主,并未对多因子变量的同时变化进行分析。后续将对以上研究不足加以优化,并通过更多案例研究加以验证。

