“撤县设区”对城市经济增长的影响分析及应对策略研究——基于土地视角的实证
2025-12-05
![]()
文章基于土地资源要素利用的视角,探究“撤县设区”对城市经济增长的影响及其作用机制,验证这项政策的时效性和科学性。采用双重差分法、中介效应检验法和平行趋势检验法开展研究,研究结果显示,“撤县设区”改革显著促进了城市的经济增长;通过土地资源要素的扩张促进经济增长;土地的快速扩张存在短期的激励效应;“撤县设区”在较长的时间内会形成“摊大饼”式的发展模式,不利于区域协调发展。研究认为,“撤县设区”的实施应不断完善土地的审批和相关制度,构建合理的风险防范体系;多元化发展经济,摆脱对土地经济的依赖;完善区域协调机制,避免一味追求行政区划的调整。
“
作 者
黄经南 武汉大学城市设计学院副院长、教授、博士生导师,湖北省人居环境工程技术研究中心
巴浩成 武汉大学城市设计学院硕士研究生
刘 娜 武汉市规划研究院助理工程师
近四十年来,我国经历了快速的城镇化过程,城镇化率由1978年的17.92%上升至2023年末的66.16%;城市的数量从1978年的193个增加到2023年的683个;城市的建成区面积从2005年的3.25万平方千米扩大至2023年的6.45万平方千米。与西方发达国家不同,由于我国特有的户籍制度及复杂的土地制度,我国的城镇化主要由政府主导,通常以快速增加城市数量与扩张建成区面积来实现,其中最明显的变化就是城市用地面积的增加。因此,我国前一阶段的城镇化也被称为“土地的城镇化”。在这一过程之中,“撤县设区”指将隶属于地级市或直辖市的县(县级市)级行政区的行政建制废除,变更为市辖区的行政区划调整政策。作为快速提升城镇化水平的一种方法,其在过去三十年间被各地政府普遍使用。根据民政部统计,1999—2021年,全国共发生264次“撤县设区”,“撤县设区”的数量在2015年左右达到高峰,2017年以后趋于稳定(图1)。

图1 1999—2021年我国撤县设区调整个数及行政区划单元数量
Fig.1 The number of “county-to-district” adjustments and administrative divisions in China from 1999 to 2021
资料来源:笔者自绘
01
“撤县设区”的目的及实现途径
行政区划调整的目的是打破地区之间的行政壁垒,通过促进区域内土地、人口等要素资源的流动刺激地方经济增长,同时提升整个地区和城市的社会经济发展水平。作为行政区划调整的一种方式,“撤县设区”也是为了实现这一目的。然而,本质上的原因是我国的县与区在制度设计与职能方面存在较大的区别。“撤县设区”后,地级市在资源调配及管理体制方面拥有更多的便利和优势。在管理体制方面,“撤县设区”后,市辖区由地级市直接管辖,实现了权力的集中;在财税体制方面,县级市财税上解的比例较低,属于一级财政,而市辖区财税上解的比例较高,由市级政府进行财政预算,增强了市级财政的总量和调控能力;在职能行使方面,市辖区内的城市建设、规划和土地管理工作由市级政府统一安排,县级市相关工作在市级政府指导下独立行使职能(表1)。通过比较县与区之间的差异可知,“撤县设区”在一定程度上促进资源进一步整合,使得发展所需的土地、人口、产业、公共建设等资源要素得以在市区层面统筹和流通,进而形成集聚效应,促进城市经济发展。

表1 市辖区与县(县级市)的差异
Tab.1 Differences between municipal districts and counties (county-level cities)
资料来源:笔者自绘
土地是基本的生产要素,是各项生产经营活动和生活活动的空间载体,城市的建设和发展离不开用地的开发和供给。在我国长期的计划经济体制影响下,城市的发展前景或者竞争力很大程度上取决于资源的分配,这一点尤其体现在与城市建设和发展直接相关的土地资源分配上。城市的开发、扩张与上级政府确定的土地资源分配指标—建设用地指标密切相关。所谓的建设用地指标分配指国家确定全国的建设用地(规模)指标后,依据各城市的等级规模、经济水平、资源禀赋,按照城市行政等级自上而下地定额分配建设用地指标。“撤县设区”后,建设用地指标可以在全市范围内进行统筹分配,从而为城市重点地区的开发提供土地资源供给。因此,建设用地指标的配置也成为影响城市发展的重要工具。除此之外,“撤县设区”后,通过土地规模的扩张,各地政府希望提高城镇化水平,提升城市等级(小城市变大城市),实现城市设施建设标准(增加城区人口,满足轨道交通建设标准等)等综合目标。因此,“撤县设区”从根本上说是通过土地资源的分配与整合来实现的。
尽管“撤县设区”的政策被各地采纳,并实施了一段时间,但是这项政策的实施效果究竟如何,当前并没有定论。有学者认为这一政策确实促进了城市与区域经济的增长,也有学者认为这一政策对城市的长远发展造成了负面影响。同时我们还注意到,尽管2017年以后“撤县设区”基本停滞,但是各地又开始设立各类“新城”“新区”等,仍然延续“撤县设区”的部分政策,如“村改居”“托管用地”等。因此,有必要探讨类似“撤县设区”政策的实施效果,尤其是从资源要素之一的土地视角出发,为其实施的科学性提供参考。
02
文献综述与基本假设
2.1 文献综述
当前学界对“撤县设区”的研究主要集中在其对地区经济发展的影响,并侧重对现象的总结,以及对具体影响的定量分析等。大部分研究学者认为,“撤县设区”促进了城市的经济发展。例如,庄汝龙等通过对土地要素扩张、产业结构优化升级和全要素生产率提升三个方面的实证研究发现,“撤县设区”带来的经济增长在经济总增长中占比达到4.8%;耿卫军等通过对浙江省69个县近30年的经济发展数据分析得知,“撤县设区”带来的劳动力要素变化对经济发展起到促进作用;邵朝对采用倍差法考察“撤县设区”的经济增长绩效,发现由“撤县设区”带动的产业资源配置对城市经济增长起到促进作用;聂伟和陆军发现,“撤县设区”无论是对地级市还是市辖区都带来了经济增长效应;王汝楠从金融发展视角出发,认为“撤县设区”对县域经济发展有明显的正向影响。但是,一些学者持有不同观点。例如,李郇和徐现祥以广东省佛山市的数据为例,分析政策实施的长期效果,认为由于缺乏政府的持续激励,政策对经济发展反而起到抑制作用;杨桐彬等认为“撤县设区”会降低土地资源的配置效率,加剧了城市发展的不平衡性,进而对城市的经济发展造成负面影响。
近年来,土地要素逐渐成为政府发展经济的重要手段之一。地方政府为发展经济,往往会采取低税收等财政补贴方式出让土地,吸引投资。这也间接说明土地仍然是地区发展经济的有效途径。近年来,不同领域的学者运用多种模型与方法对土地要素的作用进行探讨。姜海认为,土地要素在经济发展的前期贡献较大,但是由于资本等其他要素的介入,土地要素的占比逐渐减少;李鑫、叶剑平、谭术魁等采用空间计量模型研究土地要素对我国经济增长的贡献;王建康等基于“C—D”生产函数,构建我国285个地级市2003—2012年的空间面板数据模型,研究发现土地要素虽然在不同地区对经济增长的影响效应不一致,但是仍然促进了经济增长;徐枫和王占岐利用中部六省土地要素投入的数据进行实证研究,发现中部六省经济增长的主要驱动力来自土地资源的扩张。
随着城市化进程的加深,越来越多的学者发现土地的无序扩张会对经济增长起到抑制作用。赵可、徐唐奇和张安录研究发现,对于已经达到最优规模经济状态的地区,土地要素的持续投入存在冗余现象,城市用地的扩张与经济增长存在倒“U”形关系;王群和王万茂通过对2000—2014年中国省际面板数据“用地—产出”比率的分析发现,中国的经济增长正在逐步摆脱依赖土地要素投入的困境,持续扩展土地要素会抑制经济的高质量发展;周青和陶士贵基于对2005—2017年省际DMSP/OLS夜间灯光数据的实证分析发现,当土地财政跨过拐点进一步扩张时,经济发展水平呈现下降趋势。
综上所述,当前关于“撤县设区”与经济增长的相关研究并不少见,但两者之间的定量研究大多侧重探究两者的直接关系,或者前者作用于后者的效果,较少关注作用机制或过程。“撤县设区”促进经济增长是否通过相关路径来实现尚不明确。另外,相关研究已经表明,土地扩张能促进城市经济增长。而“撤县设区”这一政策实施的初衷,是上级政府希望统筹或调动土地要素。但土地要素的扩张如何促进城市经济的增长,其中的作用机制并不清楚。因此,本文从土地要素视角出发,将其作为中介效应,探究“撤县设区”促进经济增长的具体机制。同时,现有研究显示,随着政策实施时间的延长,无论是“撤县设区”还是土地扩张带来的经济增长均会慢慢减弱,但对具体时效性的研究并没有深入。因此,本文另一个重点是探讨“撤县设区”对经济增长的时间效应。本文的贡献主要在于:一是在实证分析中引入中介效应,拓展相关研究的视角,弥补目前研究的空白;二是分析“撤县设区”与土地扩张对城市经济增长的作用,论证“撤县设区”在当下的科学性和时效性,为政策的实施提供参考。
2.2 基本假设
2.2.1 假设一:“撤县设区”可促进经济增长
无论是传统的经济增长理论,还是新增长理论,都认为土地、人口等要素投入对经济增长起到促进作用。“撤县设区”后,原来的县或县级市经济从以一产为主逐步向以二产、三产为主的市辖区经济转型发展。此外,“撤县设区”后,原有的城市建设、规划、土地管理等工作从独立地行使职能变成由市政府统一安排,且公安、财政、交通等相关机构也由独立的局级单位变为市辖区分局。因此,“撤县设区”的实施突破了原行政区的壁垒,也在一定程度上消除了市场壁垒,促进资源要素的流通,带动集聚效应和规模化经济,拉动经济的增长。
2.2.2 假设二:“撤县设区”可通过土地扩张促进经济增长
上级政府希望通过“撤县设区”破除行政壁垒,实现资源特别是土地资源的整合。短期内,下辖县成为市辖区带来的直接影响是城市土地供给规模的扩张,这是政府实施此项政策最为关注的因素。通过增加土地资源的供给,进一步促进人口、产业、公共设施等资源要素的流通,从整体上带动城市经济发展。按照这一逻辑,“撤县设区”主要是通过土地资源的扩张促进城市经济的增长。
2.2.3假设三:“撤县设区”改革将带来城市建设用地面积的显著扩张
“撤县设区”将原有的下辖县纳入地级市的管理范畴,致使城市职能有所转变。县级市以农村工作为主,建设用地所占比重远远低于地级市,土地价值也不高。而地级市以产业发展为主,依赖土地财政收入。“撤县设区”带来县或县级市的发展定位、城市职能的转变,将大量农村土地转变为城市用地,建设用地面积显著扩张,为有钱没地(即有经济发展实力但没有建设用地指标)的城市提供了广阔的发展空间,促进了农村经济向城市经济的转型发展。
03
研究设计与数据说明
3.1 研究设计
3.1.1 双重差分模型
双重差分(Difference-in-Differences Method, DID)模型是政策效应评估中的一种常用方法,它通过比较“实验组”和“对照组”之间的差异性效果,评估某一政策或干预措施的影响。本文沿用这一方法,通过设置受“撤县设区”政策影响的“实验组”及没有受这一政策影响的“对照组”,分析两组数据之间的差值来判断“撤县设区”政策对经济增长的具体影响效应。因此,构造双重差分模型如下:

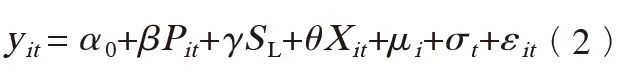
式中,yit为被解释变量,表示i城市在t年的经济发展水平;系数α0表示无任何影响下的经济增长均值;β表示实施“撤县设区”对经济增长的影响效应,如果β>0,说明“撤县设区”对经济增长起到促进作用;解释变量Pit表示城市是否实施“撤县设区”政策;θ表示双重差分估计的处理效应;Xit为多种控制变量,用来控制固定变量对地区经济增长可能存在的时变影响;μi为地区虚拟变量;σt为时间虚拟变量;εit为误差项。
3.1.2 中介效应模型
为探讨“撤县设区”影响经济增长的具体路径和机制,本文引入中介变量,研究土地因素对经济增长的影响,构建如下中介效应模型:

式中,γ表示相关土地因素的中介效应值,若γ>0,则表示“撤县设区”确实能带来土地的扩张,并以此作用于城市的经济发展;SL表示城市建设用地面积,是代表土地扩张的中介变量;其余变量含义与式(1)中一致。
3.1.3 平行趋势检验模型
在进行双重差分法前,必须证明实验组与对照组在政策发生前后的变化趋势一致性,本文参考事件研究法(Event Study Approach)构建如下平行趋势检验模型:

式中,变量Pit(j)表示发生“撤县设区”改革后第j年的年度虚拟变量;其余变量含义与式(1)中一致。如某城市在2015年发生“撤县设区”调整,那么2016年为改革实施后的第一年,则Pit(1)=1,其余赋值为0。
3.2 数据说明
3.2.1 样本选取及来源
本文采用的发生“撤县设区”的城市样本数据,是根据县级以上行政区划变更情况及区划地名网整理而来。借鉴游士兵关于“撤县设区”对经济增长的五年政策识别期,同时考虑数据的易获性、预留的政策识别时间,以及“撤县设区”在2017年后基本停滞的情况,本文选取的样本期为2011—2016年。对样本数据进行如下处理:首先,考虑到新政策的实施通常要经过一段时间的调整,因此将第四季度获批“撤县设区”的城市政策实施年份延后为下一年;其次,将城市数据严重缺失及表现异常的样本剔除,利用插值法补齐缺少数据;最后,剔出样本期前后五年内发生过其他行政区划的样本城市,最终获得67个“撤县设区”城市,作为实验组(表2)。

表2 2011—2016年发生“撤县设区”调整的城市样本
Tab.2 Sample of cities undergoing “county-to-district” from 2011 to 2016
资料来源:笔者自绘
3.2.2 相关变量选取及来源
本文中相关变量数据主要来源于2011—2016年的《全国地市县财政统计资料》《中国国土资源统计年鉴》《中国区域经济统计年鉴》《中国城市统计年鉴》《中国城市建设统计年鉴》,以及中国土地市场网、中经网统计数据库。变量具体解释如下:
核心解释变量(Pit):若为实验组的城市,在第i年之前未实施“撤县设区”政策,则Pit=0,在第i年及之后实施“撤县设区”政策,则Pit=1;作为对照组的城市,则Pit=0。
被解释变量(yit ):现有的研究通常采用地区人均GDP、人口总量等指标表示地区经济发展水平。因此,选取国内生产总值的对数ln(gdp)作为被解释变量。
控制变量:借鉴柯布–道格拉斯(Cobb-Douglas)生产函数的相关研究成果,引入如下控制变量。一是财政水平,即政府财政一般公共预算内收入的自然对数ln(finin);二是政府能力,衡量地方政府能力(gov),用预算内财政缺口来表示,即财政缺口=(财政预算内收入-财政预算内支出)/财政预算内收入;三是消费水平,用年末金融机构存款余额的自然对数ln(deposite)来度量;四是产业结构,用第二产业占比(ir)和第三产业占比(sr)来度量。
中介变量:本文选取城市建设用地面积(SL)代表土地扩张对经济增长的影响,式(2)中主要看代表土地扩张规模的中介变量与政策虚拟变量的系数。若式(2)中的γ>0,则表示“撤县设区”能通过土地扩张促进经济的增长。
在机制分析中,为检验假设二、三,分别引入城市建设用地面积、各类用地出让面积、土地出让金额等作为路径被解释变量(表3)。

表3 变量定义
Tab.3 Variable definitions
资料来源:笔者自绘
04
实证结果分析
4.1 “撤县设区”促进经济增长的基准回归结果分析
以国内生产总值取对数值表示地区经济发展水平,并以其作为被解释变量对式(1)进行基准回归。模型(1)~(4)逐步加入政府财政一般公共预算内收入的自然对数、政府能力、年末金融机构存款余额的自然对数、第二产业占比和第三产业占比的控制变量,此时,政策虚拟变量的系数为0.049,且在1%的水平上显著。这表明在发生“撤县设区”的地区,其GDP比未发生地区高4.9%,由此可见,“撤县设区”确实能够促进经济增长(表4),假设一成立。

表4 “撤县设区”促进经济增长的基准回归结果
Tab.4 Benchmark regression results on the economic growth promoted by the“county-to-district”
资料来源:笔者自绘
4.2 稳健性检验
4.2.1平行趋势检验
平行趋势检验结果表明,在政策实施之前的5年,政策效应变量在90%的置信区间内均不显著,说明在政策实施之前,实验组和对照组的趋势一致,满足双重差分模型中平行趋势的要求;当政策实施以后,系数能够在90%的置信区间内显著,表明“撤县设区”政策的确对经济增长有促进作用(图2)。

图2 平行趋势检验图
Fig.2 Parallel trend test chart
资料来源:笔者自绘
4.2.2 安慰剂检验
为排除其他因素对“撤县设区”政策的影响,本文抽取对照组中相同数量的城市作为虚拟实验组,运用安慰剂检验的方法,重复500次。结果表明,虚拟回归系数呈现均值为零的正态分布,而实际回归系数与之有较大差距(图3)。因此,可以排除其他因素对政策实施的影响,安慰剂检验通过。

图3 安慰剂检验图
Fig.3 Placebo test chart
资料来源:笔者自绘
4.3 土地扩张的中介效应分析
将代表土地扩张的中介变量城市建设用地面积加入模型进行回归分析,结果显示,城市建设用地面积与政策虚拟变量的交互变量(SL×Pit)为正数,且分别在5%和1%的水平上显著,说明在相同的时间段内实验组比对照组的建设用地面积多。因此,假设二成立,即“撤县设区”能够通过城市建设用地面积的扩张来促进经济增长。究其原因,需要回到“撤县设区”这一制度本身。县级单位相较于市辖区,在行政管辖、财政体制、主要职能、政区管理方面都有不同。在行政管辖方面,市辖区无独立权力,而县级单位有独立的一级政府的权力;在财政体制方面,市辖区由地级市直管,而县级单位则有独立的财税体制;在主要职能方面,县级单位以一产发展为主,而市辖区以二产、三产发展为主;在政区管理方面,市辖区属于城市型政区,主要职能部门以分局形式设置,县级部门则拥有独立的局级单位。因此,“撤县设区”的实施进一步促进了各项要素资源的整合,形成权力的集中,实现新增建设用地指标的集中高效利用,促进了经济增长(表5)。

表5 以土地扩张为中介效应的回归结果
Tab.5 Regression results with land expansion as a mediating effect
注:括号内为t统计量;***,**,*分别表示在1%,5%和10%的水平上显著;R2代表拟合系数,范围为0~1,数值越高,代表模型的拟合程度越高;Adj.R2代表调整后的拟合系数,表示引入自变量及相关控制变量后经过调整的拟合系数。
资料来源:笔者自绘
为进一步探究“撤县设区”通过土地扩张促进经济增长是否具有可持续性,本文将城市建设用地面积与政策虚拟变量交互项(SL×Pit)加入回归模型,并对政策实施后的第一年至第五年进行回归分析。结果显示,在加入这一中介变量后,政策实施的前四年,政策虚拟变量系数显著为正,且前三年呈现逐年增加的趋势,从第三年开始慢慢跌落,直到第五年不显著(表6)。这表明政策的实施对经济增长的促进效应呈先增加后持续减弱趋势。中介变量在此五年内也显著为正,但从第一年开始就呈现逐年减弱的趋势(图4),表明政策的实施对土地增长的促进效应持续减弱。因此,“撤县设区”带来的土地扩张可能存在短期的激励效应,如果盲目扩张,易造成“泡沫经济”。

表6 以土地扩张为中介效应的时间异质性分析
Tab.6 Analysing time heterogeneity with land expansion as a mediating effect
注:括号内为t统计量;***,**,*分别表示在1%,5%和10%的水平上显著;R2代表拟合系数,范围为0~1,数值越高,代表模型的拟合程度越高;Adj.R2代表调整后的拟合系数,表示引入自变量及相关控制变量后经过调整的拟合系数。
资料来源:笔者自绘

图4 以土地扩张为中介效应的年份效应图
Fig.4 Plot of year effects with land expansion as a mediating effect
资料来源:笔者自绘
4.4 “撤县设区”对城市建设用地及建成区面积的回归结果分析
为进一步探究“撤县设区”促进土地扩张的具体作用路径,以式(2)为回归模型,对市辖区范围内的建设用地和各类用地面积进行回归分析。模型(1)和(2)分别以建设用地面积和建成区面积作为被解释变量,结果显示,政策虚拟变量系数在1%的水平上显著,说明在政策实施后,地级市的建设用地面积和建成区面积分别增加了39.316km²和47.287km²(表7),建成区面积的增长效应大于建设用地面积的增长效应。究其原因,在“撤县设区”后,地级市为发展被撤县的新区,可能将其与中心城区相邻的区域纳入建成区范围,使得建成区的增长效应相对更强。从这一点可以看出,政策的实施会加速土地性质向“建设用地”转变。但是,由于审批程序存在滞后性,同时为加速发展,存在“未批先建”“未征先建”的现象,伴随出现的还有非法占用非建设用地现象。因此,虽然“撤县设区”的实施能够促进建设用地和建成区面积的增加,但也会带来城市“摊大饼”式的无序扩张。

表7 “撤县设区”对土地扩张的影响效应
Tab.7 The effect of “county-to-district” on land expansion
注:括号内为t统计量;***,**,*分别表示在1%,5%和10%的水平上显著;R2代表拟合系数,范围为0~1,数值越高,代表模型的拟合程度越高;Adj.R2代表调整后的拟合系数,表示引入自变量及相关控制变量后经过调整的拟合系数。
资料来源:笔者自绘
为分析“撤县设区”对各类建设用地的差异化影响,模型(3)和(4)以居住用地面积和工业用地面积为被解释变量,同时以式(2)为回归模型进行回归分析。结果显示,政策虚拟变量同样也在1%的置性水平上显著,表明在“撤县设区”后,城市的居住用地和工业用地分别增加了22.426km²和6.606km²。这从另一角度证明“撤县设区”确实能够促进城市土地的扩张。因此,假设三成立,即“撤县设区”改革带来城市建设用地面积的显著扩张。
05
结论和规划应对策略
5.1 主要结论
本文研究“撤县设区”在城市化进程中的作用,分析其对经济增长的具体机制,并基于实证,采用双重差分法和中介效应法探究“撤县设区”、土地扩张和经济增长之间的关系。
本文的主要结论如下。第一,“撤县设区”改革显著促进了城市的经济增长。第二,“撤县设区”通过土地扩张促进了城市的经济增长。第三,“撤县设区”对土地扩张具有显著的影响。就土地扩张视角而言,“撤县设区”对城市建设用地面积、城市建成区面积、居住用地面积和工业用地面积均有显著的正向作用。第四,“撤县设区”带来的土地扩张存在短期的激励效应,且随时间逐步减弱,到第五年后基本消失。
5.2 思考与启发
虽然在过去的几十年间“撤县设区”作为促进城市经济发展的重要手段被广泛应用,但是近年来这一政策已逐步被叫停。2021年,国家发展改革委提出“慎重撤县设区”;2022年3月,政府工作报告明确提出“提升新型城镇化质量,严控撤县建市设区”;2022年5月,中共中央办公厅、国务院办公厅印发《关于推进以县城为重要载体的城镇化建设的意见》,提出要“严格控制撤县建市设区”。因此,前几十年间“撤县设区”带来的潜在问题值得反思。
其一,“撤县设区”在短时间内通常会展现出显著的发展成效,各种资源要素尤其是土地资源要素能够得到整合和调配,由此可以进一步推动区域经济和社会发展。然而,当前城镇化已经步入下半场,进入高质量发展的新阶段,若仍然盲目地依赖“土地财政”,会导致经济结构失衡,不利于经济发展的可持续。当前房地产开发陷入低潮可见一斑。
其二,一项新政策的落地往往需要一个过程去适应和磨合,在这个过程中,可能会存在制度衔接不顺畅、流程设计不合理等情况,这就需要在实践中不断去发现、调整和完善。当前土地开发效率低下,大量存在的“批而未用”和“批而未建”现象也印证了城市开发政策的漏洞。
其三,区域协调发展是一个复杂的问题。不可否认的是,虽然在短时间内“撤县设区”确实会带来管辖范围的扩大及资源的整合,在一定程度上有利于解决城市空间局限、资源紧张导致的问题。但是,若在发展过程中只是简单地采取“摊大饼”式的城市扩张模式,而不注重科学规划和合理布局,就必然导致某些区域如城乡接合部和更多乡村地区因难以获得发展资源而逐步被边缘化,这对于区域的同步协调发展显然非常不利。
5.3 应对策略
针对以上思考,本文提出三点应对策略。
第一,城市经济增长要适应新的发展阶段,摆脱“土地财政”依赖。首先,多元化发展经济,摒弃以往依靠土地出让刺激经济发展的模式。近年来我国不断推进科技创新,在新能源汽车、锂电池等关键技术方面有了重大突破,这些战略性新兴产业为我国经济的稳健发展奠定基础。同时,新一轮技术革命对传统产业造成巨大影响,产业结构和生产方式也不断变化。因此,要不断优化产业结构,认识新的供给和新的需求,达成动态平衡,以增强经济发展的稳定性。其次,优化土地利用方式,减少盲目的土地出让,集约使用土地,同时提升土地使用效率,实现用地的复合化和用途的多元化。最后,不断完善财政体制,通过对税收制度的改革,培养稳定的税收财源,提高地方政府财政的稳定、安全,从而减少对土地出让的依赖。
第二,加强规划引领,完善实施保障机制。“撤县设区”实施过程中暴露出来一些问题,如土地审批制度不完善,反映出新政策实施的相关制度和流程的不完善,亟须改进。首先,在“撤县设区”或相关政策实施之前,应当强化规划引领,注重政策研究和规划实施,明确详细的实施方案和政府各相关部门的职责,确保政策的顺利实施;同时,要加强与上级政府的沟通协调,有利于政策支持和资源倾斜。其次,针对实施后的新问题、新情况,要及时发现并不断完善相关土地管理、城市规划、社会保障等方面的配套制度,简化相关办事流程,提升效率。
第三,强化区域协作。从长久来看,“撤县设区”导致的“摊大饼”式的发展模式不利于区域协调发展,应完善区域协作机制。首先,应从区域内各城镇的特点和自身需求出发,制订合理的区域发展规划,明确各城镇的分工,避免同质化发展。其次,要加强区域基础设施建设,改善交通、供水、供电等基础设施条件,同时不断完善公共服务设施,促进城乡一体化发展。最后,健全区域协调发展机制,加强区域间的沟通协作,不断促进相关资源的共享和流通,共同促进经济发展。

